Given a routing table in rails, it is possible to generate a state table for recognizing URI paths. We'll use journey to parse routes, and a proof of concept library compiler to generate the state table.
We'll work assuming a routes file that looks like this:
AppTemplate::Application.routes.draw do
resources :articles
endA resource in Rails will create four unique patterns for matching the path:
/articles(.:format)
/articles/new(.:format)
/articles/:id/edit(.:format)
/articles/:id(.:format)
We can use journey obtain a parse tree for each route and generate a graph:
require 'compiler'
parser = Journey::Definition::Parser.new
ast = parser.parse '/articles(.:format)'
puts ast.to_dotIf we graph the generated parse tree, it looks like this:
We can walk the parse tree for a route and convert an NFA table for that route. After obtaining this table, we can output a dot file:
require 'compiler'
parser = Journey::Definition::Parser.new
ast = parser.parse '/articles(.:format)'
to_nfa = Journey::ToNFA.new
nfa_tree = to_nfa.accept ast
puts nfa_tree.to_dotFeed the dot file through Graphviz and we get this:
The circled node indicates an "accepting" state. If our state machine ends on that state, we know we have a match.
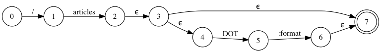
We can convert our NFA table to a DFA table, reducing states and eliminating nil transitions. Finally, output our DFA table as a dot file:
require 'compiler'
parser = Journey::Definition::Parser.new
ast = parser.parse '/articles(.:format)'
to_nfa = Journey::ToNFA.new
nfa_tree = to_nfa.accept ast
nfa = Compiler::NFA.new nfa_tree
dfa_tree = nfa.dfa_tree
puts dfa_tree.to_dotFeed this dot file through Graphviz:
We now have vastly fewer states, and our table is deterministic. Again, the double circled states are states where we know we have a match.
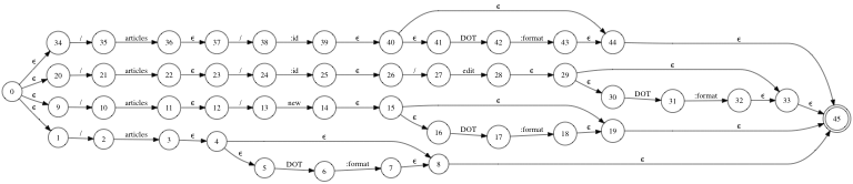
We create parse trees for all routes generated by the resources line and combine them using an OR node. We'll output dot files for the combined NFA and DFA state tables:
require 'compiler'
routes = [
'/articles(.:format)',
'/articles/new(.:format)',
'/articles/:id/edit(.:format)',
'/articles/:id(.:format)',
]
parser = Journey::Definition::Parser.new
# Parse all routes
asts = routes.map { |r| parser.parse r }
# Combine routes under an OR node
ast = Journey::Definition::Node.new(:OR, asts)
to_nfa = Journey::ToNFA.new
nfa_tree = to_nfa.accept ast
File.open('nfa.dot', 'wb') { |f| f.write nfa_tree.to_dot }
nfa = Compiler::NFA.new nfa_tree
dfa_tree = nfa.dfa_tree
File.open('dfa.dot', 'wb') { |f| f.write dfa_tree.to_dot }The resulting NFA table looks like this:
Finally we can view the resulting DFA table:
Possible next steps could be:
- Output state tables that Racc can use for simulation
- Write our own simulator for this state table
- Generate a regular expression from the DFA
Improvements:
- Make journey directly output the NFA from the grammar





A big use of this data would be able to ensure your functional tests cover 100% of your website. In addition this defines the entire surface of your application exposed over HTTP, which is good for security audits.